hay kali ini saya akan membahas GLUKOSA
SEMOGA BERMANFAAT
PENDAHULUAN
Glukosa / suatu gula monosakarida,
adalah salah satu karbohidrat terpenting yang digunakan sebagai sumber tenaga
bagi hewan dan tumbuhan. Glukosa merupakan salah satu hasil utamafotosintesis
dan awal bagi respirasi. Bentuk alami (D-glukosa) disebut juga dekstrosa,
banyak digunakan terutama pada industri pangan.
Glukosa (C6H12O6, memiliki berat
molekul 180.18) adalah heksosa—monosakarida yang mengandung enam atom karbon.
Glukosa merupakan aldehida (mengandung gugus -CHO). Lima karbon dan satu
oksigennya membentuk cincin yang disebut "cincin piranosa", bentuk
paling stabil untuk aldosa berkabon enam. Dalam cincin ini, tiap karbon terikat
pada gugus samping hidroksil dan hidrogen kecuali atom kelimanya, yang terikat
pada atom karbon keenam di luar cincin, membentuk suatu gugus CH2OH. Struktur
cincin ini berada dalam kesetimbangan dengan bentuk yang lebih reaktif, yang
proporsinya 0.0026% pada pH 7.
Glukosa merupakan sumber tenaga yang
terdapat di mana-mana dalam biologi. Banyak alasan untuk kita kaji mengapa
glukosa, dan bukan monosakarida lain seperti fruktosa, yang begitu banyak
digunakan. Glukosa dapat dibentuk dari formaldehida pada keadaan abiotik,
sehingga akan mudah tersedia bagi sistem biokimia primitif. Hal yang lebih penting
bagi organisme tingkat atas adalah kecenderungan glukosa, dibandingkan dengan
gula heksosa lainnya, yang tidak mudah bereaksi secara nonspesifik dengan gugus
amino suatu protein. Reaksi ini (glikosilasi) mereduksi atau bahkan merusak
fungsi berbagai enzim. Rendahnya laju glikosilasi ini dikarenakan glukosa yang
kebanyakan berada dalam isomer siklik yang kurang reaktif. Meski begitu,
komplikasi akut seperti diabetes, kebutaan, gagal ginjal, dan kerusakan saraf
periferal (‘’peripheral neuropathy’’), kemungkinan disebabkan oleh glikosilasi
protein.
PENGERTIAN
Glukosa adalah adalah salah satu
karbohidrat terpenting yang digunakan sebagai sumber tenaga bagi hewan dan
tumbuhan. Glukosa merupakan salah satu hasil utama fotosintesis dan awal bagi
respirasi. Bentuk alami (D-glukosa) disebut juga dekstrosa, terutama pada
industri pangan.
Karbohidrat glukosa merupakan
karbohidrat terpenting dalam kaitannya dengan penyediaan energi di dalam tubuh.
Hal ini disebabkan karena semua jenis karbohidrat baik monosakarida, disakarida
maupun polisakarida yang dikonsumsi oleh manusia akan terkonversi menjadi
glukosa di dalam hati. Glukosa ini kemudian akan berperan sebagai salah satu
molekul utama bagi pembentukan energi di dalam tubuh. Berdasarkan bentuknya,
molekul glukosa dapat dibedakan menjadi 2 jenis yaitu molekul D-Glukosa dan
L-Glukosa. Faktor yang menjadi penentu dari bentuk glukosa ini adalah posisi
gugus hidrogen (-H) dan alkohol (–OH) dalam struktur molekulnya. Glukosa yang
berada dalam bentuk molekul D & L-Glukosa dapat dimanfaatkan oleh sistim
tumbuh-tumbuhan, sedangkan sistim tubuh manusia hanya dapat memanfaatkan
DGlukosa. Glukosa juga akan berperan sebagai sumber energi utama bagi kerja
otak. Melalui proses oksidasi yang terjadi di dalam sel-sel tubuh, glukosa
kemudian akan digunakan untuk mensintesis molekul ATP (adenosine triphosphate)
yang merupakan molukel molekul dasar penghasil energi di dalam tubuh. , proses
metabolisme glukosa akan berlangsung melalui 2 mekanisme utama yaitu melalui
proses anaerobik dan proses aerobik. Proses metabolisme secara anaerobik akan
berlangsung di dalam sitoplasma (cytoplasm) sedangkan proses metabolisme
anaerobik akan berjalan dengan mengunakan enzim ysebagai katalis di dalam
mitochondria dengan kehadiran Oksigen (O ).
Glukosa merupakan aldehida
(mengandung gugus -CHO). Lima karbon dan satu oksigennya membentuk cincin
yang disebut "cincin piranosa", bentuk paling stabil untuk aldosa
berkabon enam. Dalam cincin ini, tiap karbon terikat pada gugus samping
hidroksildan hidrogen kecuali atom kelimanya, yang terikat pada atom karbon
keenam di luar cincin, membentuk suatu gugus CH2OH. Struktur cincin ini berada
dalam kesetimbangan dengan bentuk yang lebih reaktif.
Glukosa merupakan sumber tenaga yang
terdapat di mana-mana dalam biologi. Kita dapat menduga alasan mengapa glukosa,
dan bukan monosakarida lain seperti fruktosa, begitu banyak digunakan. Glukosa
dapat dibentuk dari formaldehida pada keadaan abiotik, sehingga akan mudah
tersedia bagi sistem biokimia primitif. Hal yang lebih penting bagi organisme
tingkat atas adalah kecenderungan glukosa, dibandingkan dengan gula heksosa
lainnya, yang tidak mudah bereaksi secara nonspesifik dengan gugus amino suatu
protein. Reaksi ini (glikosilasi) mereduksi atau bahkan merusak fungsi berbagai
enzim. Rendahnya laju glikosilasi ini dikarenakan glukosa yang kebanyakan
berada dalam isomer siklik yang kurang reaktif.
STRUKTUR DAN TATA NAMA
Glukosa adalah monosakarida dengan
rumus C 6 H 12 O 6 atau H-(C = O) - (CHOH) 5-H, yang lima hidroksil (OH)
kelompok tersebut diatur dalam cara tertentu di sepanjang-nya enam karbon
backbone.Dalam sekilas yang terbuka-rantai bentuk, molekul glukosa memiliki
terbuka (sebagai lawan siklik dan tidak bercabang tulang punggung) dari enam
atom karbon, C-1 melalui C-6, di mana C-1 merupakan bagian dari kelompok
aldehida H (C = O) -, dan masing-masing dari lima karbon lainnya dikenakan satu
kelompok hidroksil-OH. Sisanya obligasi dari karbon tulang punggung dipenuhi
oleh hidrogen atom-H. Oleh karena glukosa adalah heksosa dan aldosa , atau
aldohexose .
NOTASI “D” DAN “L”
Notasi D & L dilakukan karena
adanya atom C dengan konfigurasi asimetris seperti pada gliseraldehida
Masing-masing dari empat karbon C-2
melalui C-5 yang kiral , artinya bahwa empat obligasi tersebut terhubung ke
empat bagian yang berbeda dari molekul. Dalam D-glukosa, keempat bagian harus
dalam tiga dimensi tertentu pengaturan. Yakni, ketika molekul ditarik dalam
proyeksi Fischer , yang hydroxyls pada C-2, C-4, dan C-5 harus berada di sisi
kanan, sementara pada C-3 harus berada di sisi kiri.
PENAMAAN
Untuk gula dengan atom C asimetrik
lebih dari 1, notasi D atau L ditentukan oleh atom C asimetrik terjauh dari
gugus aldehida atau keto. Gula yang ditemui di alam adalah dalam bentuk isomer
D.
Gula dalam bentuk D merupakan
bayangan cermin dari gula dalam bentuk L. Kedua gula tersebut memiliki nama
yang sama, misalnya D-glukosa & L-glukosa.
Posisi keempat hydroxyls yang
terbalik dalam diagram Fischer L-Glukosa; D- dan L- glukosa adalah dua dari 16
kemungkinan aldoheksosa 14 lainnya allose , altrose , mannose , gulose , idose
, galaktosa , dan talose , masing-masing dengan dua isomer, 'D -' dan 'L -'.
Pada gula yang lebih panjang, bentuk
L- atau D- ditentukan dari atom karbon kiral yang paling jauh dari gugus
karbonil
Bentuk kiral yang berbeda dari suatu
gula, disebut isomer optik atau stereoisomer.
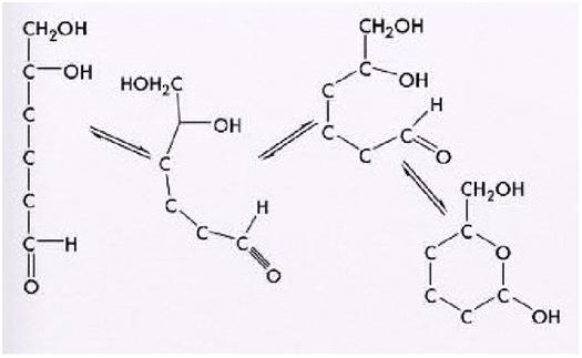
BENTUK SIKLIK
Pentosa dan heksosa dapat membentuk
struktur siklik melalui reaksi gugus keton atau aldehida dengan gugus OH dari
atom C asimetrik terjauh. Glukosa membentuk hemiasetal intra-molekular sebagai
hasil reaksi aldehida dari C1 & OH dari atom C5, dinamakan cincin piranosa.
Pembentukan hemiasetal &
hemiketal
Aldehida dapat bereaksi dengan
alkohol membentuk hemiasetal. Keton dapat bereaksi dengan alkohol membentuk
hemiketal.
Fruktosa dapat membentuk :
Cincin piranosa, melalui reaksi antara gugus
keto atom C2 dengan OH dari C6.w
Cincin furanosa, melalui reaksi antara gugus
keto atom C2 dengan OH dari C5.w
Siklisasi D-glukosa
Cincin beranggota enam = PIRANOSA
Pembentukan cincin siklik glukosa
menghasilkan pusat asimetrik baru pada atom C1. Kedua stereoisomer disebut
anomer, a & b.
Proyeksi Haworth menunjukkan bentuk
cincin dari gula dengan perbedaan pada posisi OH di C1 anomerik :
w
a (OH di bawah struktur cincin)
w
b (OH di atas struktur cincin).
Dalam solusi, rantai-bentuk terbuka
glukosa ('baik' D - atau 'L -') ada dalam keseimbangan dengan beberapa isomer
siklik , masing-masing berisi sebuah cincin karbon ditutup dengan satu atom
oksigen. Dalam larutan air, bagaimanapun, glukosa ada sebagai pyranose selama
lebih dari 99%. Bentuk rantai terbuka terbatas sekitar 0,25% dan furanose ada
dalam jumlah diabaikan. Istilah "glukosa" dan "D-glukosa"
biasanya digunakan untuk bentuk-bentuk siklik juga. Cincin ini berasal dari
bentuk rantai terbuka oleh adisi nukleofilik reaksi antara kelompok aldehid -
(C = O) H pada C-1 dan kelompok hidroksil-OH pada C-4 atau C-5, menghasilkan
hemiacetal kelompok-C (OH) HO-. Hemiasetal siklik dapat terbentuk sebagai hasil
reaksi antara gugus hidroksil dan karbonil pada rantai yang sama
Reaksi antara C-1 dan C-5
menciptakan sebuah molekul dengan cincin beranggota enam, disebut pyranose ,
setelah eter siklik pyran , molekul sederhana dengan cincin karbon-oksigen yang
sama. Reaksi antara C-1 dan C-4 menciptakan sebuah molekul dengan cincin
beranggota lima, yang disebut furanose , setelah eter siklik furan. Dalam kedua
kasus, setiap karbon di atas ring memiliki satu hidrogen dan satu hidroksil
terpasang, kecuali untuk karbon terakhir (C-4 atau C-5) dimana hidroksil
diganti oleh sisa molekul terbuka (yang - (CHOH) 2-H atau - (CHOH)-H,
masing-masing).
Reaksi cincin-penutupan membuat
karbon C-1 kiral juga, karena empat obligasi menyebabkan-H, ke-OH, untuk karbon
C-2, dan oksigen cincin. Keempat bagian dari molekul dapat diatur sekitar C-1 (
karbon anomeric ) dalam dua cara yang berbeda, yang ditunjuk oleh prefiks 'α-'
dan 'β-'. Ketika molekul glukopiranosa ditarik dalam proyeksi Haworth ,
penunjukan 'α-' berarti bahwa kelompok hidroksil yang melekat pada C-1 dan-CH 2
OH pada C-5 terletak di sisi berlawanan dari ring pesawat (a trans pengaturan
), 'sedangkan' β-berarti bahwa mereka berada di sisi yang sama dari pesawat (a
cis pengaturan).
Oleh karena itu, terbuka isomer
D-glukosa menimbulkan empat isomer siklik yang berbeda: α-D-glukopiranosa,
β-D-glukopiranosa, α-D-glucofuranose, dan β-D-glucofuranose, α-D -
Glucopyranose Glukopiranosa, β-D - Glucopyranose Glukopiranosa, α-D
- Glucofuranose Glucofuranose, β-D - Glucofuranose Glucofuranose.
Rantai lainnya terbuka-isomer
L-glukosa juga menimbulkan empat bentuk siklik berbeda L-glukosa, masing-masing
cermin gambar dari D-glukosa yang sesuai.
Cincin glukopiranosa (α atau β)
dapat mengasumsikan bentuk non-planar beberapa, analog dengan 'kursi' dan
'perahu' konformasi dari sikloheksana. Demikian pula, cincin glucofuranose
mungkin beranggapan beberapa bentuk, analog dengan 'amplop' konformasi dari
cyclopentane .
Glukopiranosa bentuk glukosa yang
mendominasi dalam larutan, dan merupakan bentuk yang diamati dalam keadaan
padat. Mereka adalah padatan kristal berwarna, sangat larut dalam air dan asam
asetat , buruk larut dalam metanol dan etanol . Mereka meleleh pada 146 ° C (α)
dan 150 ° C (β), dan terurai pada suhu tinggi ke karbon dan air.
Karena sifat ikatan karbon yang
berbentuk tetrahedral, gula piranosa membentuk konfigurasi “kursi" atau
“perahu", tergantung dari gulanya. Penggambaran konfigurasi kursi dari
glukopiranosa di atas lebih tepat dibandingkan dengan proyeksi Haworth.
BANDINGAN ALPA DAN GLUKOSA BETA
Posisi gugus-OH pada karbon anomeric
merupakan perbedaan penting untuk kimia karbohidrat.
• Posisi Beta didefinisikan
sebagai-OH berada di sisi yang sama dari cincin sebagai # C 6. Dalam struktur
kursi ini menghasilkan proyeksi horisontal.
• Posisi Alpha didefinisikan
sebagai-OH berada di sisi berlawanan dari cincin sebagai # C 6. Dalam struktur
kursi ini menghasilkan proyeksi ke bawah.
PERAN GLUKOSA DALAM METABOLISME
Karbohidrat merupakan sumber energi
utama bagi tubuh manusia, yang menyediakan 4 kalori (17 kilojoule) energi
pangan per gram. Pemecahan karbohidrat (misalnya pati) menghasilkan mono- dan
disakarida, terutama glukosa. Melalui glikolisis, glukosa segera terlibat dalam
produksi ATP, pembawa energi sel. Di sisi lain, glukosa sangat penting dalam
produksi protein dan dalam metabolisme lipid. Karena pada sistem saraf pusat
tidak ada metabolisme lipid, jaringan ini sangat tergantung pada glukosa.
Glukosa diserap ke dalam peredaran
darah melalui saluran pencernaan. Sebagian glukosa ini kemudian langsung
menjadi bahan bakar sel otak, sedangkan yang lainnya menuju hati dan otot, yang
menyimpannya sebagai glikogen ("pati hewan") dan sel lemak, yang
menyimpannya sebagai lemak. Glikogen merupakan sumber energi cadangan yang akan
dikonversi kembali menjadi glukosa pada saat dibutuhkan lebih banyak energi.
Meskipun lemak simpanan dapat juga menjadi sumber energi cadangan, lemak tak
pernah secara langsung dikonversi menjadi glukosa. Fruktosa dan galaktosa, gula
lain yang dihasilkan dari pemecahan karbohidrat, langsung diangkut ke hati,
yang mengkonversinya menjadi glukosa.
my referensi:
http://agusnurul.blogspot.com/2011/02/struktur-konformasi-glukosa.html

Tidak ada komentar:
Posting Komentar